当前位置: 网站首页 -> 通知公告 -> 正文
时间:2024-11-19 浏览量: 编辑:
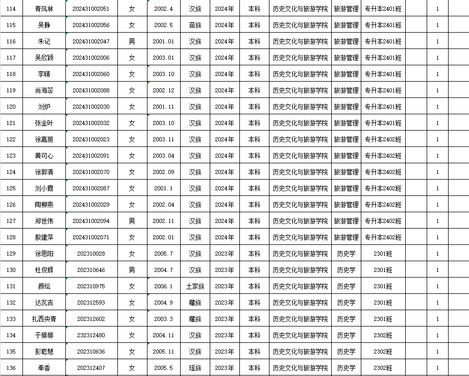
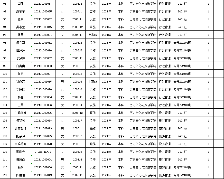
按照学工发文件〔2024〕63号《关于开展 2024年本专科国家励志奖学金、国家助学金初评工作的通知》精神,公司高度重视,通过主题班会向全体员工进行了宣讲并成立班级、院级评议小组对2024年国家励志奖学金、国家助学金进行评选,于2024年11月4日—6日进行了公示,并上报学校资助中心,经过审核部分员工未通过,进行调整后,现予以公示,时间11月19日——21日。公示期间有异议请联系公司党委书记任自玲老师,电话0719-8846037,办公室:启明楼507。
上一篇:十大体育网站 | 全球最佳体育资讯平台推荐与评测关于举办2024年度读书分享比赛 决赛的通知
下一篇:十大体育网站 | 全球最佳体育资讯平台推荐与评测 2024-2025学年“文明宿舍”评选结果公示